코딩항해기
[기초] 인터넷 동작 방식 본문
인터넷은 어떻게 동작하는가? - Web 개발 학습하기 | MDN
이 글에서는 인터넷의 개념과 작동 원리에 대해 설명합니다.
developer.mozilla.org
인터넷의 가장 기본적인 내용은 컴퓨터들이 서로 통신 기능한 거대한 네트워크라는 것이다.
단순히 컴퓨터 간의 통신이 필요할 때, 컴퓨터들은 물리적, 또는 무선으로 연결이 되어 있어야한다. 이때 연결은 두 대로 제한되지 않고 원하는 만큼 연결할 수 있지만, 연결하고자 하는 컴퓨터의 수가 늘어날 수록 연결이 복잡해진다.

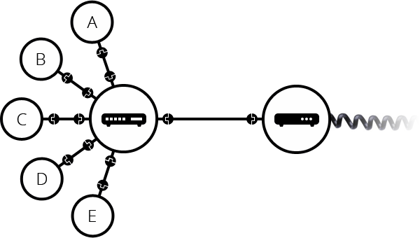
이러한 문제를 해결하기 위해 라우터가 있으며, 라우터를 시스템에 추가하면 단일 플러그만 라우터에 연결하면 되기 때문에 복잡해지는 문제를 해결할 수 있다.

컴퓨터의 수가 더욱 많이 늘어나게 되면 라우터도 여러 개 달아 또 다른 라우터를 구성해 무한히 확장할 수 있다.
그러나 이 방식은 케이블이 전부 연결되어있어야한다는 문제가 있다. 이 문제를 해결하기 위해서 이미 집에 연결되어있는 케이블인 전화 기반 시설을 활용했다. 이러한 전화 시설과 연결하기 위한 장비가 모뎀이다. 모뎀은 네트워크 정보를 전화 시설에서 처리할 수 있도록 교환하고, 전화 정보를 네트워크에서 처리할 수 있도록 교환한다.

이런 네트워크를 활용하기 위해서는 인터넷 서비스 제공 업체(ISP)에 연결해야한다. ISP는 특수한 라우터를 관리하고, 다른 ISP 라우터에도 엑세스할 수 있는 회사이다. 즉, 우리가 메세지를 보내면 ISP의 네트워크를 통해 대상의 네트워크로 전송되는 것이다. (라우터와 라우터의 연결)
이처럼 메세지를 보내기 위해서는 대상 컴퓨터, 도착할 장소를 지정해줘야한다. 이때 사용되는 것이 IP주소이다. 하지만 IP주소는 컴퓨터에게는 좋지만 우리가 사용하기에는 복잡하다. 따라서 도메인을 사용해 IP주소의 이름을 지정할 수 있다.
웹 브라우저를 사용해 웹을 탐색할 때 도메인을 사용하기 때문에 인터넷과 웹이 동일하다고 생각할 수 있지만 그렇지 않다. 인터넷은 여러 컴퓨터를 연결하는 기술 인프라이며, 웹은 그 인프라 위에 구축된 서비스이다.
'기타 > 기초 지식' 카테고리의 다른 글
| [기초] 컴퓨터의 발달과 분류 (0) | 2025.01.10 |
|---|---|
| [기초] HTTP (0) | 2025.01.02 |
| [기초] 문자 인코딩 (1) | 2024.12.30 |
| [기초] 데브옵스 DevOps (0) | 2024.12.29 |
| [기초] 안전한 원격 접속 표준 SSH (0) | 2024.12.27 |